

هونغتيك بيت سلسلة البوليستر مطوي تصفية خراطيش هي التي شيدت من البوليستر مطوي (بيت) تصفية وسائل الإعلام ، مع الأساسية المركزية وعالية الجودة نهاية كاب. تتميز خراطيش البوليستر المطوية بانخفاض الضغط المنخفض وقدرة التدفق العالية. يتم إنتاج خراطيش مطوي بيت باستخدام الألياف الاصطناعية 100٪ ، والتي هي خالية من المجلدات أو المواد اللاصقة ، واظهار كفاءة الاحتفاظ فعالة للغاية. ما هو أكثر من ذلك ، فهي قابلة للغسل وقابلة لإعادة الاستخدام بشكل جيد.
خراطيش تصفية البوليستر مطوي تسمى أيضا مرشحات استبدال المياه. يزيد التصميم المطوي من مساحة السطح ويطيل عمر الخدمة ، مما يجعل خراطيش الحيوانات الأليفة المطوية واحدة من أكثر الخيارات الاقتصادية في معالجة المياه.
| تصفية وسائل الإعلام | البوليستر & نبسب ؛ (الحيوانات الأليفة) |
| الطول | 5-9-75-9-8-10-20-30-40 -; |
| خارج القطر | 2-68(68 ملم) |
| داخل & نبسب ؛ القطر | 1-1 (28 ملم) |
| الترشيح & نبسب ؛ تصنيف | 1μm ، 5? m 10μm 20μm ، 30? m 50μm ، 100μم |
| الأساسية | البولي بروبلين |
| الخارجي ونبسب ؛ المعاوضة | البولي بروبلين |
| نهاية & نبسب ؛ قبعات / جوانات | بلاستيسول / البولي يوريثين |
| نهاية ونبسب ؛ كاب ونبسب ؛ نوع | مزدوج & نبسب ؛ فتح & نبسب ؛ نهاية & نبسب؛(وزارة الطاقة) |
- توافق ممتاز مع مجموعة واسعة من المواد الكيميائية وعوامل التعقيم
- تغيير أقل من السهل غسلها وإعادة استخدامها ، مطلوب صيانة أقل
- متوفر في الكثير من أطوال لتلبية مطالب مختلفة ومتطلبات المعدات
- بلاستيسول (بك) نهاية قبعات / جوانات توفر ختم إيجابي ، مساحة الترشيح السطحية الكبيرة مع ارتفاع معدل التدفق
- البولي بروبلين الخارجي المعاوضة يقوي مقاومة للضغط ، إطالة عمر خدمة بيت مطوي خراطيش
| بي سي دبليو | قبل & نبسب ؛ ريال عماني / دي | إلكترونيات |
| مياه الشرب | تبريد & نبسب ؛ المياه | الأغذية والمشروبات |
| الأدوية | الصناعية&نبسب ؛ المياه&نبسب ؛ &أمبير ؛ & نبسب ؛ الطلاء | المواد الكيميائية والمذيبات العضوية |
بيانات التشغيل لخراطيش تصفية البوليستر مطوي
| أقصى درجة حرارة التشغيل | 75℃(167℉) |
| ماكس.الضغط التفاضلي | 4.8 & نبسب;شريط & نبسب; في & نبسب; 20℃ & نبسب; (70 & نبسب; رطل & نبسب; في & نبسب; 68℉) |
| 3.4 & نبسب;شريط & نبسب; في & نبسب; 50℃ & نبسب; (50 & نبسب; رطل & نبسب;في & نبسب; 122℉) | |
| أقصى & نبسب ؛ عكس & نبسب ؛ الضغط | 40 & نبسب;بسيد&نبسب;@ & نبسب;70 F و & نبسب; (2.8 & نبسب; بار&نبسب;@ & نبسب; 21 C ج) |
| أوصى & نبسب ؛ تغيير & نبسب ؛ خارج & نبسب ؛ التفاضلية & نبسب ؛ الضغط | 2.4&نبسب ؛ بار & نبسب ؛ (35 & نبسب ؛ بسيد) |
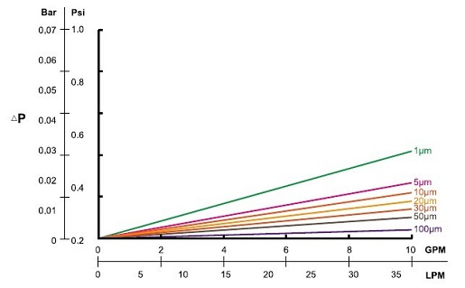
معدل انخفاض الضغط ل 10 & مثل; البوليستر مطوي تصفية خراطيش


- هونغتيك نهاية كاب مصنوع من البولي يوريثين عالية الجودة ، سطح أملس هو جيد لختم ، عندما الآخرين مصنوعة من الغراء أدنى وخشنة
- هونغتيك بيت مطوي مرشحات تشديد مطوي مع مساحة الترشيح أكبر ، عندما البعض الآخر متفرق مطوي التهم مع أقل مساحة السطح
- التهم مطوي من هونغتيك البوليستر مطوي خراطيش يساوي أو أكبر من 50 ، عندما جودة منخفضة جعلت أقل من 50 مطوي التهم
- هونغتيك بيت مطوي خراطيش متقدمة الخارجي المعاوضة لتعزيز البناء كله ، والبعض الآخر دون & #39 ؛ ر جعل جيدة أنيق الخارجي المعاوضة
| الحيوانات الأليفة | الطول | ميكرون & نبسب; تقييم | خارج |
|
الحيوانات الأليفة & نبسب ؛ سلسلة & نبسب; البوليستر & نبسب ؛ مطوي&نبسب ؛ تصفية & نبسب ؛ خراطيش |
5 & نبسب ؛ = & نبسب ؛ 5 & مثل; | 1 & نبسب ؛ = & نبسب ؛ 1µ م | ث & نبسب؛ = & نبسب ؛ مع&نبسب ؛ ب & نبسب ؛ المعاوضة |
| 9.75 & نبسب;= & نبسب;9.75 & مثل; | 5 & نبسب ؛ = & نبسب ؛ 5µ م | ||
| 9-8 = 9-8; | 10 & نبسب ؛ = & نبسب ؛ 10µ م | ||
| 10 & نبسب;=&نبسب; 10 & مثل; | 20 & نبسب ؛ = & نبسب ؛ 20µ مليون | ||
| 20 & نبسب;= & نبسب; 20 & مثل; | 30 & نبسب ؛ = & نبسب ؛ 30µ مليون | س & نبسب؛ = & نبسب ؛ دون & نبسب ؛ المعاوضة | |
| 30 & نبسب;= & نبسب; 30 & مثل; | 40 & نبسب ؛ = & نبسب ؛ & نبسب ؛ 40 دولار | ||
| 40=40; | 50 & نبسب ؛ = & نبسب ؛ 50µ مليون | ||
| 100 & نبسب ؛ = 100 دولار |
على سبيل المثال:
الحيوانات الأليفة-10-5-دبليو
بيت سلسلة البوليستر مطوي تصفية خراطيش-10 & مثل ؛ - 5 أوشم-مع ب المعاوضة